Neave Stotter Inc
  • Home
  • Director
  • Staff
  • Services
  • History
  • BEE
  • Contact Us

 

 

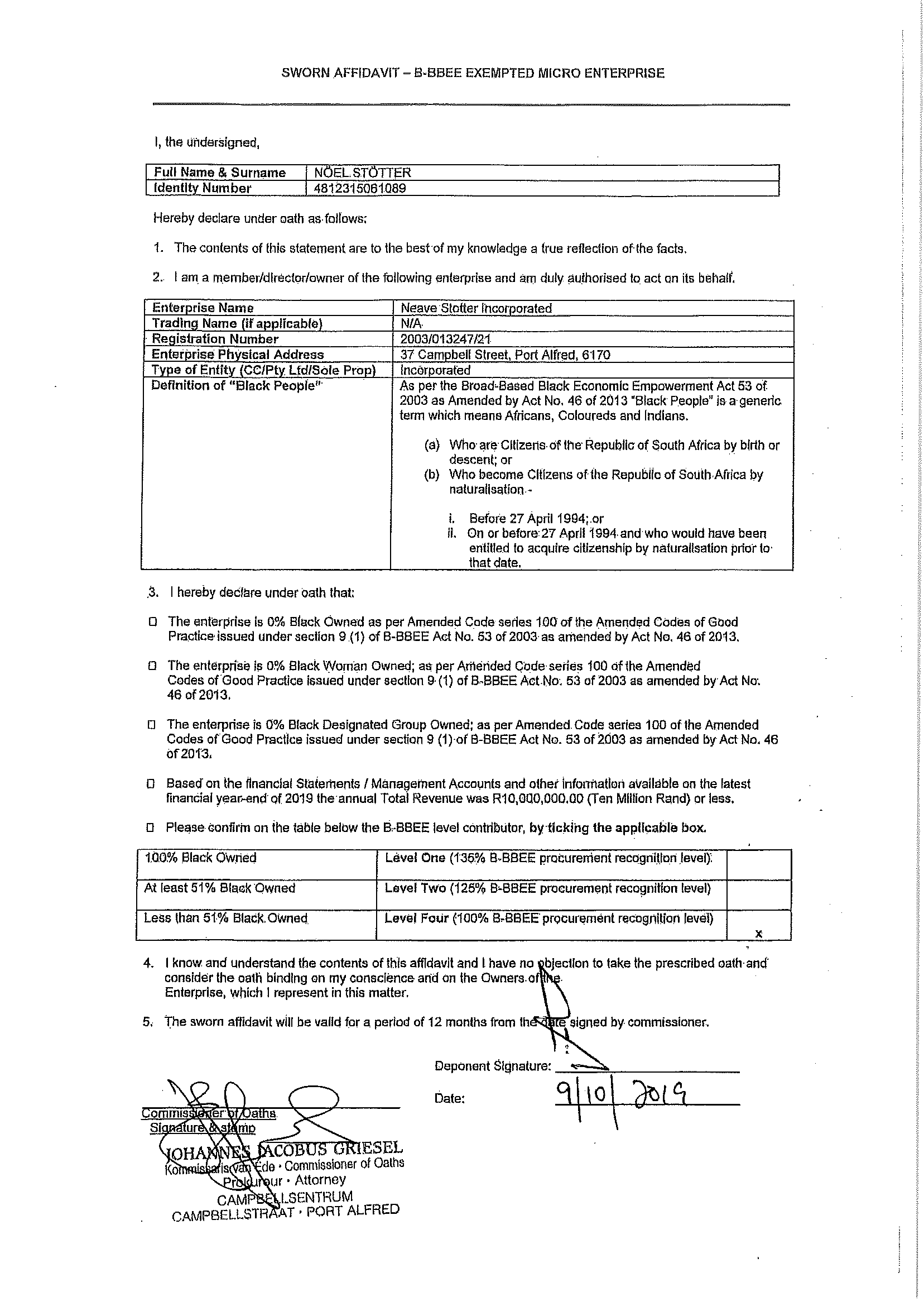
Neave Stötter Inc.
is certified
B-BBEE level 4

BEE Certificate
© 2025 neavestotter.co.za.    All rights reserved. Sign In to Edit this Site